第一章 单元测试
1、单选题:
1822年傅里叶在《热的解析理论》中提出的数学物理方程是()。
选项:
A:弦振动方程
B:热传导方程
C:波动方程
D:拉普拉斯方程
答案: 【热传导方程】
2、单选题:
是第()类边界条件
选项:
A:第四类边界条件
B:第三类边界条件
C:第一类边界条件
D:第二类边界条件
答案: 【第三类边界条件】
3、单选题:
弦振动方程是()方程。
选项:
A:双曲型方程
B:椭圆型方程
C:线性方程
D:抛物型方程
答案: 【双曲型方程】
4、多选题:
含两个自变量的二阶线性偏微分方程的分类是()。
选项:
A:线性方程
B:抛物型方程
C:椭圆型方程
D:双曲型方程
答案: 【抛物型方程;
椭圆型方程;
双曲型方程】
5、多选题:
数学物理方程的定解问题包括()。
选项:
A:初值问题
B:有界问题
C:边值问题
D:混合问题
答案: 【初值问题;
边值问题;
混合问题】
第二章 单元测试
1、单选题:
特征值问题
的特征函数是
选项:
A:
B:
C:
D:
答案: 【
】
2、判断题:
的特征函数是
选项:
A:对
B:错
答案: 【对】
3、多选题:
求解非齐次的弦振动方程混合问题时采用的方法是()。
选项:
A:齐次化原理
B:分离变量法
C:行波法
D:特征函数法
答案: 【齐次化原理;
特征函数法】
4、多选题:
分离变量法求解弦振动方程混合问题的条件是同时满足()
选项:
A:初值条件齐次
B:边界条件齐次
C:边界条件非齐次
D:方程齐次
答案: 【边界条件齐次;
方程齐次】
5、多选题:
一维热传导方程混合问题的方程、边值条件、初值条件都是非齐次的时候,需要()。
选项:
A:首先将非齐次初值条件齐次化
B:首先将非齐次方程齐次化
C:首先将非齐次边界条件齐次化
D:同时将边界条件和方程都齐次化
答案: 【首先将非齐次边界条件齐次化;
同时将边界条件和方程都齐次化】
第三章 单元测试
1、单选题:
求解三维齐次波动方程初值问题的方法是()。
选项:
A:行波法
B:球面平均法
C:特征线法
D:特征函数法
答案: 【
2、单选题:
求解一维齐次波动方程初值问题的方法是()。
选项:
A:球面平均法
B:特征函数法
C:行波法
D:齐次化原理
答案: 【】
3、多选题:
应用行波法求解一维齐次波动方程定解问题和应用分离变量法求解一维齐次波动方程定解问题的区别是()。
选项:
A:前者是初值问题,而后者是混合问题
B:前者求解的问题的区域无界,而后者求解的问题的区域有界
C:前者没有边值条件,而后者有边值条件
D:前者有初值条件,而后者没有初值条件
答案: 【】
4、多选题:
使用傅里叶变换和使用拉普拉斯变换求解数学物理方程定解问题的区别是()。
选项:
A:自变量的变化范围不同
B:卷积形式的表达不同
C:定解条件的形式不同
D:微分性质的形式要求不同
答案: 【】
5、多选题:
下面()表示的是傅立叶变换的微分性质。
选项:
A:
B:
C:
D:
答案: 【
】
第四章 单元测试
1、判断题:
拉普拉斯方程的Dirchlet内边值问题和Neumann内边值问题的解唯一性说法是一样的。
选项:
A:对
B:错
答案: 【】
2、判断题:
格林公式既是联系三重积分和在它的边界曲面上的曲面积分中介桥梁,又是联系二重积分和在它的边界曲线上的曲线积分的中介桥梁。
选项:
A:错
B:对
答案: 】
3、判断题:
对于拉普拉斯外问题来说,求解通常都是在无界区域上,为了保证该问题解的唯一性,需要对问题加一些限制条件。
选项:
A:错
B:对
答案: 【】
4、单选题:
下面()表示上半平面的格林函数。
选项:
A:
B:
C:
D:
答案: 【】
5、单选题:
应用格林函数法求解三维拉普拉斯方程的Dirchlet内边值问题的公式是()。
选项:
A:
B:
C:
D:
答案: 【】
第五章 单元测试
1、单选题:
下列关于贝塞尔函数的正交性表达正确的是()。
选项:
A:
B:
C:
D:
答案: 【】
2、单选题:
下列方程是0阶贝塞尔方程的是()。
选项:
A:

B:

C:

D:

答案: 【
】
3、多选题:
下列等式正确的是()。
选项:
A:
B:
C:
D:
答案: 【】
4、多选题:
下列半奇数阶贝塞尔函数表达正确的是()。
选项:
A:
B:
C:
D:
答案: 】
5、单选题:
下列式子正确的是()。
选项:
A:
B:
C:
D:
答案: 【】
第六章 单元测试
1、判断题:
勒让德方程是一个二阶线性齐次常微分方程。
选项:
A:对
B:错
答案: 【】
2、判断题:
P2n+1(x)是偶函数。
选项:
A:对
B:错
答案: 【】
3、判断题:
P2n(x)是偶函数。
选项:
A:对
B:错
答案: 】
4、多选题:
下列方程是连带的勒让德方程的是()。
选项:
A:
B:
C:
D:
答案: 【】
5、多选题:
下列关于勒让德多项式说法正确的是()。
选项:
A:
B:
C:
D:
答案: 【】
第七章 单元测试
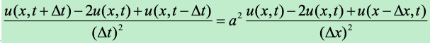
1、判断题:
一维波动方程utt=a2uxx可以用格式

近似求解。
选项:
A:对
B:错
答案: 【】
2、判断题:
在一维热传导方程的显式差分格式中,利用初值求出第0排上的值,然后求出第1排,第2排,以此类推。
选项:
A:错
B:对
答案:】
3、判断题:
受最小位能原理的启发,利用变分法可以将泊松方程的边值问题转化为求一个泛函的最小值问题。
选项:
A:对
B:错
答案: 【】
4、多选题:
求解数学物理方程常用的近似方法有()。
选项:
A:差分法
B:里茨-伽辽金方法
C:有限元素法
D:变分法
答案: 【】
5、判断题:
一维弦振动方程的显式差分格式当
时是稳定的。
选项:
A:对
B:错
答案: 【】

请先 !