第一章 单元测试
1、判断题:
滴定分析法要求化学反应必须具有确定的化学计量关系,即反应按一定的反应方程式进行。()
选项:
A:对
B:错
答案: 【对】
2、判断题:
水分析化学是以水为研究对象,综合应用分析化学的理论知识和方法,研究与分析水体系中物质的组成、性质、含量的科学。()
选项:
A:错
B:对
答案: 【对】
3、判断题:
水质指标和水污染物是一样的含义()
选项:
A:错
B:对
答案: 【错】
4、判断题:
水体有自净功能,所以水不容易被污染()
选项:
A:对
B:错
答案: 【错】
5、判断题:
水质标准是表示生活饮用水、工农业用水及各种受污染水中污染物质的最高容许浓度或限量阈值的具体限制和要求。()
选项:
A:对
B:错
答案: 【对】
6、判断题:
浊度、色度和电导率属于水体的化学指标。()
选项:
A:错
B:对
答案: 【错】
7、判断题:
以化学反应为基础的分析方法称为化学分析方法。()
选项:
A:对
B:错
答案: 【对】
8、多选题:
化学分析方法包括哪些方法?()
选项:
A:容量分析法
B:滴定分析法
C:重量分析法
D:仪器分析法
答案: 【滴定分析法;
重量分析法】
9、多选题:
水分析化学的四大经典滴定是()
选项:
A:络合滴定
B:沉淀滴定
C:酸碱滴定
D:氧化还原滴定
答案: 【络合滴定;
沉淀滴定;
酸碱滴定;
氧化还原滴定】
10、多选题:
水的微生物指标包括哪几类?()
选项:
A:二氧化氯
B:细菌总数
C:游离性余氯
D:总大肠菌群
答案: 【二氧化氯;
细菌总数;
游离性余氯;
总大肠菌群】
第二章 单元测试
1、判断题:
系统误差是可测误差,因此总能用一定的方法加以消除。()
选项:
A:错
B:对
答案: 【对】
2、判断题:
精密度是指测定值与真实值之间的符合程度。()
选项:
A:错
B:对
答案: 【错】
3、判断题:
0.06080有4位有效数字()
选项:
A:错
B:对
答案: 【对】
4、判断题:
滴定分析对化学反应的要求是反应必须有确定的化学计量关系,反应必须完全且速度要快。()
选项:
A:错
B:对
答案: 【对】
5、单选题:
下面有关准确度与精密度的关系表述正确的是()
选项:
A:准确度与精密度没关系;
B:精密度高则准确度高;
C:准确度高则要求精密度一定要高;
D:准确度高不要求精密度要高。
答案: 【准确度高则要求精密度一定要高;】
6、单选题:
在滴定分析测定中,属偶然误差的是()
选项:
A:砝码生锈
B:试样未经充分混匀
C:滴定时有液滴溅出
D:滴定管最后一位估读不准确
答案: 【滴定管最后一位估读不准确】
7、单选题:
下列不属于典型的四大化学滴定分析法的是()
选项:
A:酸碱滴定法
B:沉淀滴定法
C:氧化还原滴定法
D:电位滴定法
答案: 【电位滴定法】
8、单选题:
可用下法中哪种方法减小分析测定中的偶然误差?()
选项:
A:进行仪器校准;
B:增加平行试验的次数。
C:进行对照试验;
D:进行空白试验;
答案: 【增加平行试验的次数。】
9、单选题:
已知标准溶液B与被测物质A之间的化学反应为:aA+bB=cC+dD,则滴定度TB/A与物质的量浓度CB之间的换算公式为:TB/A=()。
选项:
A:VACB/VB
B:VACB/VB
C:CBVBVA
D:VA/CBVB
答案: 【VACB/VB】
10、单选题:
在酸性溶液及标准状态下,以下各组离子可以共存的是()。
选项:
A:MnO4-和Cl-
B:I-和Fe3+
C:NO3-和Fe2+
D:Fe3+和Sn2+
答案: 【NO3-和Fe2+】
第三章 单元测试
1、判断题:
对酚酞指示剂不显色的溶液,应该不是酸性溶液。()
选项:
A:错
B:对
答案: 【】
2、判断题:
在一定温度下,改变溶液的pH值,水的离子积不变。()
选项:
A:错
B:对
答案: 【】
3、判断题:
酸浓度越大,滴定曲线的pH突越范围越大。()
选项:
A:错
B:对
答案: 【】
4、判断题:
用HCl标准溶液滴定等量的两份同一碱溶液,分别以甲基橙、酚酞为指示剂,消耗HCl体积分别为V1,V2。若V1=V2,则该碱液为NaHCO3。()
选项:
A:错
B:对
答案: 【】
5、判断题:
在0.1mol/LHAc溶液中,[H+]=0.1mol/L。()
选项:
A:对
B:错
答案: 【】
6、单选题:
0.1mol/L弱酸HB的水溶液,其pH值为()。(ka=1.0*10-9)
选项:
A:11.0
B:5.0
C:9.0
D:3.0
答案: 【】
7、单选题:
某酸碱指示剂的KHIn=1*10-5,其理论变色范围是pH()。
选项:
A:5~7
B:4~5
C:5~6
D:4~6
答案: 【】
8、单选题:
下列气体不能使用浓硫酸干燥的是()。
选项:
A:H2
B:O2
C:NH3
D:CO2
答案: 【】
9、单选题:
共轭酸碱对的Ka和Kb的关系是()
选项:
A:Ka·Kb=Kw
B:Ka·Kb=1
C:Ka=Kb
D:Ka/Kb=Kw
答案: 【】
10、单选题:
某碱样为NaOH和Na2CO3的混合液,用HCl标准溶液滴定。先以酚酞指示剂,耗去HCl溶液V1ml,继以甲基橙为指示剂,又耗去HCl溶液V2ml。V1和V2的关系是()
选项:
A:V1=V2
B:V1>V2
C:2V1=V2
D:V1=2V2
答案: 】
第四章 单元测试
1、判断题:
金属指示剂的选择原则是:变色敏锐、用量少。()
选项:
A:错
B:对
答案: 【】
2、判断题:
被滴定金属离子的浓度越大,配位滴定曲线的pH突越范围越大。()
选项:
A:对
B:错
答案: 【】
3、判断题:
碳酸盐和重碳酸盐形成的硬度是永久硬度。()
选项:
A:错
B:对
答案: 【】
4、判断题:
EDTA分子中,有6个可与金属离子形成配位健的原子。()
选项:
A:对
B:错
答案: 【】
5、判断题:
因为EDTA与Al3+配位缓慢,经常用反滴定法测定水样中Al3+的含量。()
选项:
A:错
B:对
答案: 【】
6、单选题:
在EDTA配位滴定中(只考虑酸效应),如果滴定时溶液的pH值变小,则金属离子与EDTA形成的配合物的条件稳定常数将()。
选项:
A:不存在
B:变小
C:变大
D:无变化
答案: 【
7、单选题:
在Fe3+、Al3+、Ca2+、Mg2+的混合液中,用EDTA法测定Ca2+、Mg2+,要消除Fe3+,Al3+的干扰,在下列方法中有哪两种较适用?()
选项:
A:控制酸度法
B:络合掩蔽法
C:沉淀分离法
D:离子交换法
答案: 【】
8、单选题:
滴定分析中,一般利用指示剂颜色的突变来判断等当点的到达,在指示剂变色时停止滴定。这一点称为()
选项:
A:计量点
B:滴定误差
C:滴定终点
D:滴定分析
答案: 【】
9、单选题:
络合滴定中,金属指示剂应具备的条件是()
选项:
A:金属指示剂与金属离子的显色反应不可逆;
B:金属指示剂络合物易溶于水;
C:金属指示剂与金属离子形成的显色络合物稳定性大于EDTA与金属离子形成的络合物稳定性;
D:金属指示剂本身颜色与显色络合物颜色相同
答案: 【】
10、单选题:
用EDTA滴定金属离子M,若要求相对误差小于0.1%,则滴定的条件必须满足()
选项:
A:CMK’MY≥106
B:CMK’MY≤106
C:CMKMY≤106
D:CMKMY≥106
答案: 【】
第五章 单元测试
1、判断题:
控制一定的条件,沉淀反应可以达到绝对完全。()
选项:
A:错
B:对
答案: 【】
2、判断题:
同离子效应可以使难溶强电解质的溶解度降低。()
选项:
A:对
B:错
答案: 【】
3、判断题:
难溶电解质的溶度积越大,溶解度也越大。()
选项:
A:错
B:对
答案: 【】
4、判断题:
一般认为,如果溶液中某离子浓度小于10-4mol/L,则认为沉淀完全。()
选项:
A:错
B:对
答案: 【】
5、判断题:
盐效应可以使难溶强电解质的溶解度升高。()
选项:
A:错
B:对
答案: 【
6、判断题:
莫尔法的指示剂是铁铵钒。()
选项:
A:错
B:对
答案: 【】
7、单选题:
莫尔法用AgNO3标准溶液滴定NaCl时,所用指示剂为()
选项:
A:K2CrO4
B:铁铵矾
C:K2Cr2O7
D:KSCN
答案: 【】
8、单选题:
下列哪个不是影响沉淀溶解度的主要因素?()
选项:
A:同离子效应
B:配位效应
C:水解效应
D:盐效应
答案: 】
9、单选题:
莫尔发法只适用于测定Cl-、Br-,而不适用于测定I-,是因为()
选项:
A:生成的沉淀溶解度太小
B:滴定酸度不可控制
C:无法找到合适的指示剂
D:生成的沉淀强烈吸附I-
答案: 【
10、单选题:
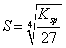
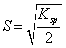
某难溶盐的化学式为是MX3,溶解度S与溶度积Ksp的关系是()
选项:
A:
B:
C:
D:
答案: 【 】
第六章 单元测试
1、判断题:
因为
所以I-不能将Cu2+还原为Cu+。( )
选项:
A:错
B:对
答案: 【】
2、判断题:
KMnO4可以作为基准物质使用。()
选项:
A:对
B:错
答案: 【】
3、判断题:
氧化还原滴定能否准确进行主要取决于氧化还原反应的平衡常数的大小()
选项:
A:对
B:错
答案: 【】
4、判断题:
催化剂均能加快氧化还原反应的速度。()
选项:
A:错
B:对
答案: 【】
5、单选题:
在酸性溶液及标准状态下,下列各组离子可以共存的是()。
选项:
A:Fe3+和Sn2+
B:NO3-和Fe3+
C:MnO4-和Cl-
D:I-和Fe3+
答案: 【
6、单选题:
下列反应中滴定曲线对称的反应是()。
选项:
A:Ce4++Fe2+=Ce3++Fe3+
B:2Fe3++Sn2+=2Fe2++Sn4+
C:MnO4-+5Fe2++8H+=Mn2++5Fe3++4H2O
D:I2+2S2O32-=2I-+S4O62-
答案: 【
7、单选题:
用KMnO4法滴定Fe2+时,Cl-的氧化被加快,这种情况称为()。
选项:
A:自动催化反应
B:副反应
C:催化反应
D:诱导效应
答案: 【
8、单选题:
间接碘量法中加入淀粉指示剂的适宜时间是()
选项:
A:滴定至接近计量点时
B:滴定开始之前时
C:标准溶液滴定了近50%时
D:标准溶液滴定了近75%
答案: 【
9、单选题:
关于重铬酸钾法,下列叙述正确的是()
选项:
A:其标准溶液应进行标定
B:使用自身指示剂
C:有诱导效应存在
D:可在HCl介质中进行
答案: 【
10、单选题:
可用于直接配制标准溶液的是()
选项:
A:K2Cr2O7
B:NaOH
C:Na2S2O3·5H2O
D:KMnO4
答案: 【

请先 !